尼龍的英文簡稱PA,漢語全名聚酰胺。尼龍的類型有很多,包含了PA6、PA66、PA610、PA11、PA12、PA1010、PA612、PA46等。
PA尼龍用以道路運輸、機械設備了解、電線電纜、汽車制造業、電子電氣領域等。
PA尼龍實際用以各種各樣滾動軸承、傳動齒輪、滾輪泵離心葉輪、葉子、風機、空氣過濾網機殼、熱管散熱器水室、制動系統管、汽車發動機罩等。
PA尼龍原材料差別于金屬復合材料,具備非常容易變形、相對密度小、非常容易生產加工等特點,在CNC加工核心櫥柜臺面夾裝中,很容易遭受夾裝產生變形;生產加工完成后,延展性修復,促使PA尼龍規格、樣子都發生了一定轉變,而且因為夾緊力越大,生產加工結束后的變形也就越大。因而,在生產加工PA尼龍工件的情況下,提議采用全力夾緊粗加工、輕度夾緊深度加工次序,那樣懷著夾裝能量不容易危害工件規格加工精度。

針對PA尼龍工件而言,這類材質自身熱平穩比較弱,略微有點兒發熱量消化吸收,就極易產生變形。
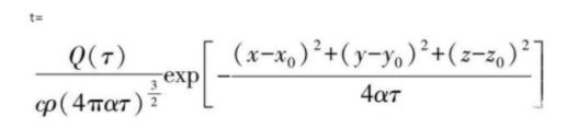
假如切削全過程中形成的熱為切削點處造成,假定:
1)工件在切削前溫度勻稱;
2)造成的能源不向外輻射源;
3)切削全過程平穩勻稱,則工件任一點M(x0,y0,z0)受挪動點熱源的環境溫度危害為:

式中,Q(τ)是點熱源在時時刻刻瞬間熱值;ρ是物質相對密度;c是傳熱物質的比熱;α是傳熱物質的導溫系數;τ是熱源瞬間發燙后的任一時時刻刻;座標(x0,y0,z0)是支撐點部位,為給定值;座標(x,y,z)是點熱源的部位,為轉變值;t是點熱源危害后,支撐點處升溫。從式中還可以看得出,間距點熱源越近的地區受其溫度危害越大,切削表層立即為熱源面,遇熱數最多,因遇熱發生的變形也越大;因而,加工精度規定高的工件,解決其完成制冷減溫。減溫可選用汽油沖洗或冷凍液沖洗等方式 。

PA尼龍澆鑄制做,造成許許多多孔眼、出氣孔;當模貝溫度過高,尼龍造成縮松;相反因為一瞬間提取的高聚物在單個中不徹底融解,導致微孔板;除此之外,PA尼龍滲入容易揮發或易溶解物,鑄造造成揮發物物質,最后產生汽泡、孔眼。這種形形色色的孔眼導致PA尼龍的多變性,假如一旦更改構造,那麼熱應力再次更改均衡,原材料非常容易造成變形。


QQ客服 